MatCalc による析出計算の例

-------------------------------------------------------

    TTP図_Tutorial_T18

-------------------------------------------------------

MatCalc 6.01 (rel 0.001)

計算時間: 5分
      Windows7_32bit_4GBメモリー


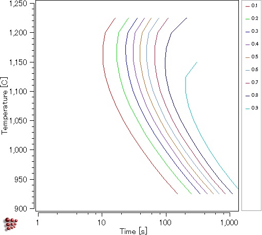
計算対象: オーステナイトからの NbC の析出

合金系 : Fe-Nb-C ,         0.7Nb-0.1C (wt%)



TTP図   :  
            TTP( Time-Temperature-Precipitation ) diagram



予備計算:  
            
       NbC相のモル比率の温度変化(平衡計算)


            
       指定温度における NbC相のモル比率の時間変化


 戻る

Copyright(C) 2017 Materials Design Technology Co., Ltd. All Rights Reserved.